Wybór dolnego źródła

Wybór dolnego źródła
Ciepło można pobierać z ziemi, wody lub powietrza. Wybór źródła ciepła, czyli tzw. dolnego źródła, ma decydujący wpływ na koszty inwestycji, podstawowe parametry instalacji z pompą ciepła i niezawodność jej działania. To najważniejsza decyzja.

Wybór dolnego źródła
(fot. Clima Komfort)
Instalacja grzewcza z pompą ciepła składa się z trzech zasadniczych części:

  • źródła dolnego;
  • węzła cieplnego, którego najważniejszym elementem jest pompa ciepła;
  • źródła górnego.


Źródło górne grzeje pomieszczenia – to podłogówka, grzejniki lub jedno i drugie. Energię cieplną dostarcza do źródła górnego pompa ciepła. Jest to energia pobierana przez pompę ciepła z powietrza, wody lub gruntu za pomocą instalacji nazywanej źródłem dolnym.

 

Źródło dolne decyduje o jakości całego systemu grzewczego.

 

Każda pompa ciepła zawsze zrobi swoje – „przepompuje” ciepło ze źródła dolnego do górnego, jeśli tylko źródło dolne jest odpowiednio wydajne. Jeśli źródło dolne jest źle wybrane, źle zaprojektowane lub źle wykonane, nawet najlepsza pompa ciepła nic nie pomoże.

 

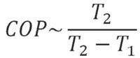
Wiadomo, że sprawność ogrzewania pompą ciepła, określana współczynnikiem efektywności COP (Coefficient of Performance), jest tym większa, im mniejsza jest różnica temperatury DT między źródłem górnym (T2) a źródłem dolnym (T1), tj.

 

bd3_11wzor_800

 

Zatem im wyższa temperatura źródła dolnego T2, tym większa sprawność ogrzewania. Najcieplejszym źródłem dolnym może być sztuczne źródło ciepła, takie jak ścieki, woda powrotna w systemach ciepłowniczych, inne ciecze, gazy lub powietrze ogrzewane w jakimś procesie technologicznym. Możliwości takich rozwiązań istnieją w przemyśle lub budownictwie komunalnym, natomiast bardzo rzadko zdarzają się w domach jednorodzinnych. Pozostają nam zatem źródła naturalne (odnawialne).

 

Najwyższą temperaturę ma woda gruntowa, ok. 10°C, niezależnie od głębokości i pory roku. Rozwiązanie z wodą gruntową jako dolnym źródłem jest więc bardzo korzystne pod względem sprawności (COP osiąga wartości 5÷6), niezbyt drogie inwestycyjnie, ale wymaga sprawdzenia parametrów wody, której zanieczyszczenia mogą powodować korozję wymiennika ciepła lub powstawanie osadów.

Ciąg dalszy artykułu w wydaniu papierowym miesięcznika Budujemy Dom 3/2011

Pozostałe artykuły z tego numeru
Kronika klanu Amber cd.
W poprzednim numerze „Dasz radę!” wspólnie z Klanowiczami www.wybieramydom.pl rozkładaliśmy na czynniki pierwsze koszty stanu surowego domów budowanych wg projektu Amber (artykuł ten dostępny jest po odczytaniu powyższego kodu). Tym razem pod lupę bierzemy wydatki na instalacje w Amberach, ale nie tylko w nich...
Kronika klanu Amber cd.
Kronika klanu Wezyr
Tak więc powolutku, ale się kręci. A założony termin przeprowadzki nieuchronnie się zbliża – zostało jeszcze 5 miesięcy. Damy radę!... Czy nie damy? Takie wątpliwości miał w lutym 2009 roku Seb – jeden z najaktywniejszych forumowiczów klanu Wezyr. Czy dał radę?
Kronika klanu Wezyr
Termowizja i pompy ciepła
– Firma „Grasant” zajmuje się przede wszystkim montażem pomp ciepła – mówi właściciel Artur Panas. – Większość klientów jest zadowolona, ale zdarzają się oczywiście reklamacje. W zasadzie dotyczą one tego, iż koszty eksploatacyjne są wyższe od pierwotnie przewidywanych. Termowizja okazała się doskonałym narzędziem na takie sytuacje. Pozwala bowiem zdiagnozować przyczynę nieprawidłowości.
Termowizja i pompy ciepła
Montaż okien dachowych
Okna dachowe powinny zapewniać dostęp światła do pomieszczeń oraz chronić dom przed stratami ciepła, hałasem i nieproszonymi gośćmi. By spełniały wszystkie stawiane im wymagania, muszą być przede wszystkim fachowo zamontowane.
Montaż okien dachowych
Rozlewisko i kwiecista łąka
Ogród Janiny i Andrzeja z biegiem lat potrzebuje coraz mniej zabiegów pielęgnacyjnych. Piękny ogród, mało pracy – właścicielom ogrodów chyba głównie o to chodzi!
Rozlewisko i kwiecista łąka
Zakładamy trawnik
Trawnik można dziś wykonać ekspreso wo i choć wydaje się to banalne, często zdarza się, że ułożone płaty darni obumierają, a gdy murawę zakładamy tradycyjnie – przez siew, nasiona kiełkują nierównomiernie i w obrębie trawnika powstają puste miejsca. Jak prawidłowo przeprowadzić wszystkie prace, by darń była soczyście zielona – powiemy w niniejszym artykule.
Zakładamy trawnik
Dachówki - ceramiczne, cementowe czy blaszane?
Pytanie czytelnika: Szukamy projektu domu o powierzchni ok. 130 m2. Myślimy o dachu dwuspadowym bez lukarn, ale z oknami połaciowymi, z tradycyjnym pokryciem z dachówek lub podobnej do nich blachodachówki. Wiemy, że od wyboru pokrycia dachowego zależy nie tylko wygląd budynku, ale również trwałość, szczelność i koszt wykonania dachu. Prosimy zatem o przedstawienie tych dwóch materiałów i informacje o rodzajach dachówek i blachodachówek.
Dachówki - ceramiczne, cementowe czy blaszane?
Okna z PVC i drewniane
Okna wpływają nie tylko na wygląd elewacji i ilość wpadającego do domu słońca. Przede wszystkim chronią przed chłodem i hałasem. Zapewniają też domownikom bezpieczeństwo. Zależy od nich bardzo wiele, niestety również to, o ile szczuplejszy stanie się nasz portfel. W artykule tym porównujemy parametry 27 okien drewnianych i 25 z PVC, a wybierając konkretne modele udowadniamy, że okna korzystnie wycenione mogą spełnić wszystkie nasze wymagania – oczywiście w granicach rozsądku.
Okna z PVC i drewniane
Oświetlenie wewnętrzne
Co najważniejsze? Żeby oświetlenie dobrać do jego funkcji. Jedne lampy tak, by tworzyły nastrój, inne – by kreowały przestrzeń, ale większość ma przede wszystkim zapewniać odpowiednią ilość światła. A na to są różne sposoby...
Oświetlenie wewnętrzne
Ogrodzenia i nawierzchnie
Chociaż wybór ogrodzeń i materiałów na nawierzchnię jest duży, wcale nie ułatwia to podjęcia decyzji, które z nich będą pasowały do bryły i elewacji domu oraz do ogrodowej architektury. Podpowiedzią może być umiar, który warto zachować, aby końcowy efekt nie był zbyt przytłaczający.
Ogrodzenia i nawierzchnie
Drzwi wewnętrzne
Drzwi to nie sukienka ani kapelusz, który można zmienić, gdy się opatrzy lub wyjdzie z mody. Dlatego lepiej wybrać takie, które będą pasowały do wnętrza przez kilka lat. Dobrze, by były przy tym funkcjonalne i miały przystępną cenę.
Drzwi wewnętrzne
Kominy
Większość domów w Polsce ogrzewana jest kotłem na paliwa stałe, olej lub gaz. Dwa pierwsze bezwzględnie muszą być podłączone do komina, kocioł gazowy, jeśli ma otwartą komorę spalania, również. Jeśli korzystamy tylko z energii elektrycznej lub kotła gazowego z zamkniętą komorą spalania, teoretycznie z komina można zrezygnować. Pamiętać jednak trzeba o tym, że komin nie służy tylko do odprowadzania spalin, ale znajdują się w nim również przewody wentylacyjne, którymi na zewnątrz wypływa zużyte powietrze.
Kominy
Kominki
Dla wielu właścicieli domów jednorodzinnych kominek to najważniejszy element wyposażenia salonu. Najczęściej jest używany okazjonalnie i służy głównie do podgrzewania nastroju. Warto jednak pamiętać, że odpowiednio wyposażony kominek – z płaszczem wodnym lub systemem dystrybucji gorącego powietrza – może być znaczącym źródłem ciepła w całym domu.
Kominki
Ściany zewnętrzne
Koszt wzniesienia ścian zewnętrznych zwykle nie przekracza 10% wydatków na budowę całego domu. Istotne jest jednak, że wybór technologii ma nie tylko wpływ na wygląd domu, ale w dużej mierze decyduje o jego izolacyjności cieplnej i akustycznej. Decydując się na budowę domu, warto więc poznać specyfikę i różnice wszystkich technologii, tych tradycyjnych i nowoczesnych, pozwalających systemowo wybudować dom.
Ściany zewnętrzne
Elewacje
O dobry stan elewacji warto zadbać nie tylko dla jej ładnego wyglądu, ale również dlatego, że stanowi dla budynku ochronę cieplną i przeciwwilgociową. Choć remont elewacji to spory wydatek, pamiętajmy, że dzięki niemu możemy znacząco zwiększyć ciepłochronność domu, co zaowocuje niższymi kosztami ogrzewania.
Elewacje
Schody
Schody wewnętrzne, niezależnie od tego, gdzie są usytuowane, stanowią dominujący element wystroju. Dlatego już na etapie projektowania najlepiej określić ich rodzaj i usytuowanie. Także gdy korzystamy z gotowego projektu zwróćmy uwagę na schody, bo jedyne przeróbki, jakich będziemy mogli dokonać w czasie jego realizacji, to zmiana ich technologii wykonania i wykończenia biegu schodowego. Aby zatem dobrze wybrać i uniknąć błędów, już przed rozpoczęciem inwestycji dowiedzmy się o schodach jak najwięcej.
Schody
Nowoczesne instalacje
To, że instalacja grzewcza lub oświetleniowa jest w nowym domu wykonywana inaczej niż kilkadziesiąt lat temu uważamy za oczywiste. Standard domów i wymagania inwestorów przecież wciąż rosną – urządzenia i instalacje dawniej uważane za luksus stają się powszechne. Dlatego budując dom warto pomyśleć o wykonaniu nowoczesnych instalacji. W takim domu mieszka się po prostu wygodniej a jego wartość przy sprzedaży rośnie.
Nowoczesne instalacje
Wybór działki, projektu i wykonawców
Wybór działki, projektu, a następnie wykonawców to coś, co wielu inwestorów wspomina jako najtrudniejszy etap budowy. Tym trudniejszy, że choć wiemy już, że chcemy budować dom, nie mamy jeszcze żadnego doświadczenia. Podpowiadamy na co zwracać uwagę na każdym z tych etapów.
Wybór działki, projektu i wykonawców
Posadzka na ogrzewanie podłogowe
Ogrzewanie podłogowe stało się popularnym rozwiązaniem. Jednak nie każdy, kto się na nie decyduje, zdaje sobie sprawę z jego specyficznych cech. Istotną sprawą jest wybór sposobu wykończenia podłogi, bo nie każda posadzka będzie w tym przypadku równie dobra.
Posadzka na ogrzewanie podłogowe
Dom i praca za miastem
Kiedy za mieszkanie w mieście trzeba zapłacić więcej niż za działkę pod miastem i dom kilka razy większy niż powierzchnia mieszkania, wielu decyduje się na budowę własnego domu. Dorota i Paweł zdecydowali się na taki krok. Pod miasto wyprowadzili się nie tylko fizycznie, ale także zawodowo.
Dom i praca za miastem
Tani w utrzymaniu, choć niemały
Budując dom etapami, przez kilka lat, pani Renata miała dużo czasu na znalezienie wykonawców, konsultacje z fachowcami i dokonanie wyborów. Jednak największą zaletą okazała się możliwość rozłożenia w czasie finansowania budowy.
Tani w utrzymaniu, choć niemały
Tani w utrzymaniu, choć niemały
Budując dom etapami, przez kilka lat, pani Renata miała dużo czasu na znalezienie wykonawców, konsultacje z fachowcami i dokonanie wyborów. Jednak największą zaletą okazała się możliwość rozłożenia w czasie finansowania budowy.
Tani w utrzymaniu, choć niemały
Najnowsze wydanie
Czytaj tak, jak lubisz
W wersji cyfrowej lub papierowej
Moduł czytaj tak jak lubisz