Dom 150 m² i pellet - ile ton naprawdę schodzi w sezonie?

Dom 150 m² zużywa najczęściej około 5–6 ton pelletu na sezon, ale w praktyce wynik może się wyraźnie różnić nawet przy podobnym metrażu. Decydują o tym głównie izolacja, nastawy temperatury i sprawność kotła, więc ten sam dom potrafi potrzebować zauważalnie więcej lub mniej paliwa.

Dom 150 m² i pellet - ile ton naprawdę schodzi w sezonie?
Orte Polska Nagrzewnice na pellet
Dane kontaktowe:
22 374 13 73
ul. Słoneczna 1 96-321 Oddział

PokażUkryj szczegółowe informacje o firmie

Czego dowiesz się z artykułu?

Średnie zużycie pelletu dla domu o powierzchni 150 m²

Zużycie pelletu w dużej mierze zależy od kilku czynników, takich jak:

  • izolacja termiczna budynku,
  • efektywność systemu grzewczego,
  • temperatura utrzymywana w pomieszczeniach,
  • długość i intensywność zimy w danym regionie.

W klimacie umiarkowanym, gdzie zimy bywają mroźne, można przyjąć następujące szacunki:

  1. Dom o powierzchni 50 m²: 2 tony pelletu na sezon,
  2. Dom o powierzchni 100 m²: 4–5 ton pelletu na sezon,
  3. Dom o powierzchni 150 m²: 5–6 ton pelletu na sezon,
  4. Dom o powierzchni 200 m²: 7–8 ton pelletu na sezon.

Dla domu o powierzchni 150 m² średnie zużycie wynosi około 5–6 ton na sezon. Oznacza to, że powinieneś przygotować się na zakup odpowiedniej ilości paliwa jeszcze przed rozpoczęciem zimy, aby uniknąć problemów z dogrzewaniem domu.

Jak obniżyć zużycie pelletu?

Jeśli zależy Ci na oszczędnościach i efektywniejszym wykorzystaniu pelletu, rozważ poniższe wskazówki:

  1. Zadbaj o dobrą izolację budynku
    Im lepsza izolacja termiczna, tym mniej ciepła ucieka z domu. Ocieplenie ścian, dachu oraz wymiana okien na energooszczędne pozwolą zredukować zapotrzebowanie na paliwo.
  2. Zainwestuj w nowoczesny piec na pellet
    Wysokiej klasy kotły na pellet charakteryzują się większą sprawnością, co oznacza, że spalają mniej paliwa, aby uzyskać tę samą ilość ciepła.
  3. Regularnie serwisuj system grzewczy
    Czysty i prawidłowo działający piec spala pellet efektywniej, zmniejszając jego zużycie.
  4. Ustal optymalną temperaturę w pomieszczeniach
    Obniżenie temperatury w domu o 1°C może zmniejszyć zużycie energii nawet o 6%. Warto także wykorzystać programatory temperatury, aby dostosować ogrzewanie do rytmu dnia domowników.
  5. Wykorzystuj ciepło z innych źródeł
    Jeśli w domu znajduje się kominek, dogrzewanie nim pomieszczeń w szczególnie chłodne dni może zredukować zapotrzebowanie na pellet.

Jak obliczyć potrzebną ilość pelletu?

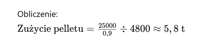
Aby dokładnie oszacować zużycie pelletu, możesz posłużyć się prostym wzorem:

Aby dokładnie oszacować zużycie pelletu, możesz posłużyć się prostym wzorem

Przykład dla domu o powierzchni 150 m²:

  • Roczne zapotrzebowanie na ciepło: 25 000 kWh (przy średniej izolacji termicznej),
  • Sprawność kotła: 90%,
  • Wartość opałowa pelletu: 4 800 kWh/t.

 

Obliczenia

Czy warto kupić większą ilość pelletu?

Kupowanie pelletu z wyprzedzeniem, np. wiosną lub latem, może przynieść oszczędności. W okresie poza sezonem grzewczym ceny są często niższe, a dostępność większa. Co więcej, większy zapas pozwoli uniknąć sytuacji, w której w środku zimy zabraknie paliwa.

Zużycie pelletu w domu o powierzchni 150 m² wynosi przeciętnie od 5 do 6 ton na sezon grzewczy w klimacie umiarkowanym. Ilość ta może się różnić w zależności od izolacji budynku, sprawności systemu grzewczego oraz warunków pogodowych. Warto zadbać o dobre ocieplenie domu i efektywny piec, aby zminimalizować zużycie paliwa. Planowanie zakupów z wyprzedzeniem to dodatkowy sposób na oszczędności.

 

źródło i zdjęcia: Orte Polska

Fotografia otwierająca: AdobeStock

FAQ Pytania i odpowiedzi
  • O ile procent szacunkowo zmniejszy się zużycie energii przy obniżeniu temperatury w domu o jeden stopień Celsjusza?

    Obniżenie temperatury w pomieszczeniach o 1°C może zredukować zużycie energii nawet o 6%. Aby osiągnąć ten efekt bez utraty komfortu, zaleca się stosowanie programatorów temperatury dopasowanych do rytmu dnia domowników.
  • Jakie trzy parametry techniczne są niezbędne do podstawienia do wzoru na obliczenie dokładnej ilości potrzebnego pelletu?

    Aby skorzystać z wzoru na szacunkowe zużycie, należy znać: roczne zapotrzebowanie budynku na ciepło (np. 25 000 kWh), sprawność kotła (np. 90%) oraz wartość opałową stosowanego pelletu (przyjmuje się ok. 4 800 kWh/t).
  • Jaka jest różnica w szacowanym tonażu zużycia pelletu między domem o powierzchni 50 m² a domem o powierzchni 200 m²?

    Dla domu o powierzchni 50 m² szacuje się zużycie na poziomie 2 ton na sezon, natomiast dla domu o powierzchni 200 m² jest to 7–8 ton. Różnica wynosi więc od 5 do 6 ton paliwa na sezon.
  • Dlaczego eksperci zalecają zakup pelletu konkretnie w okresie wiosennym lub letnim?

    Zakup paliwa z wyprzedzeniem (wiosną lub latem) jest rekomendowany ze względu na często niższe ceny poza sezonem grzewczym oraz większą dostępność produktu, co pozwala uniknąć problemów z brakiem paliwa w środku zimy.
  • Jaki wpływ na efektywność spalania i zużycie paliwa ma regularny serwis kotła?

    Regularne serwisowanie jest kluczowe, ponieważ czysty i prawidłowo działający piec spala pellet efektywniej. To bezpośrednio przekłada się na zmniejszenie ilości zużywanego paliwa potrzebnego do uzyskania tej samej ilości ciepła.
  • Czytaj więcej Czytaj mniej
Autor
Natalia Karaskiewicz
Natalia Karaskiewicz
Młoda mama, która nie boi się wyzwań i z zaangażowaniem zgłębia tajniki budownictwa. Pracę w redakcji traktuje jako nieustanną formę rozwoju i samorealizacji. Obecnie buduje wymarzony dom, co daje jej cenne doświadczenie i pozwala jeszcze lepiej rozumieć potrzeby czytelników. Od 10 lat związana z Grupą AVT, gdzie redaguje artykuły i porady dotyczące budownictwa, remontów i aranżacji wnętrz. Z pasją dzieli się wiedzą z czytelnikami, tłumacząc skomplikowane zagadnienia w przystępny sposób. Poza pracą najchętniej spędza czas z rodziną podczas weekendowych wycieczek.