Opór cieplny: Co decyduje o jakości izolacji?

Większość osób nie zdaje sobie sprawy, jak wielki wpływ na jakość izolacji ma opór cieplny. To on decyduje, czy w Twoim domu będzie ciepło zimą, a latem chłodno, a także czy wydasz fortunę na ogrzewanie. Choć może to brzmieć jak techniczna kwestia, odpowiedni dobór materiałów izolacyjnych może obniżyć rachunki i poprawić komfort życia.

Opór cieplny: Co decyduje o jakości izolacji?
Aluthermo dystrybuowany przez PBN Invest Sp. z o.o Cienkie izolacje termiczne Aluthermo®
Dane kontaktowe:
602 418 182
Al. Solidarności 13 07-100 Węgrów

PokażUkryj szczegółowe informacje o firmie

Czego dowiesz się z artykułu?

Opór cieplny to niezwykle ważny parametr, który decyduje o efektywności materiałów izolacyjnych. Wysoki opór cieplny pozwala na skuteczną ochronę przed utratą ciepła, co przekłada się na oszczędności energii i komfort użytkowania domu. Warto wiedzieć, jak obliczyć ten opór i jaki materiał wybrać, aby izolacja była jak najbardziej efektywna. Dobrze dobrany materiał, taki jak wełna mineralna czy styropian, zapewni odpowiednią ochronę przed zimnem i upałem, a także zminimalizuje koszty ogrzewania. Pamiętaj, że optymalny opór cieplny będzie zależał od miejsca zastosowania oraz specyfiki budynku.

Czym jest opór cieplny?

Opór cieplny to zdolność materiału do zatrzymywania ciepła w obrębie pomieszczenia. W uproszczeniu można powiedzieć, że jest to "współczynnik odporności" materiału na przepływ ciepła. Oznacza to, że im wyższy opór cieplny, tym mniej ciepła wydostaje się przez ściany, dach czy podłogę.

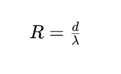
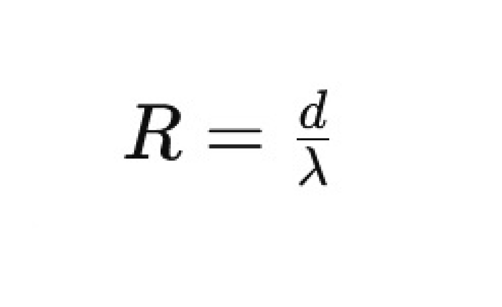
Opór cieplny oblicza się na podstawie wzoru:

gdzie:

  • R to opór cieplny,
  • d to grubość materiału (w metrach),
  • λ (lambda) to współczynnik przewodzenia ciepła, który określa, jak dobrze materiał przewodzi ciepło (im mniejsza wartość, tym lepsza izolacyjność).

Im wyższy opór cieplny, tym materiał lepiej chroni przed utratą ciepła. Dlatego podczas wyboru materiału izolacyjnego warto zwrócić uwagę właśnie na ten parametr. Wysoki opór cieplny oznacza mniejsze straty energii, co ma bezpośrednie przełożenie na niższe rachunki za ogrzewanie i poprawę komfortu cieplnego w domu.

Jaki opór cieplny jest lepszy?

Wysoki opór cieplny w izolacji jest zawsze korzystny, ale czy oznacza to, że im wyższy, tym lepszy? Wcale nie. Warto pamiętać, że opór cieplny powinien być dopasowany do konkretnego miejsca i typu budynku. W praktyce liczy się nie tylko sam wskaźnik oporu cieplnego, ale także inne właściwości materiału, takie jak jego trwałość, odporność na wilgoć, łatwość montażu i koszt.

Jaki opór cieplny jest "lepszy"? To zależy od kontekstu. Na przykład:

  • W przypadku ścian zewnętrznych warto zastosować materiał o oporze cieplnym R wynoszącym co najmniej 3,0 m²·K/W.
  • W przypadku poddaszy opór cieplny może wynosić 4,0–6,0 m²·K/W, aby zapewnić odpowiednią termoizolację.

Różnice w materiałach, takie jak wełna mineralna, styropian czy pianka poliuretanowa, mają wpływ na wartość λ, co bezpośrednio wpływa na obliczany opór cieplny. Ważne jest więc, aby wybierać materiały zgodnie z wymaganiami technicznymi i potrzebami konkretnego pomieszczenia.

Jaki powinien być opór cieplny wełny?

Wełna mineralna jest jednym z najczęściej stosowanych materiałów izolacyjnych, który zapewnia doskonałą ochronę przed utratą ciepła. Opór cieplny wełny zależy od jej grubości i rodzaju (wełna szklana lub skalna), a także od współczynnika przewodzenia ciepła (λ). Wartość λ dla wełny mineralnej mieści się w przedziale 0,032–0,040 W/(m·K). To oznacza, że wełna mineralna jest bardzo efektywna w zatrzymywaniu ciepła, co sprawia, że jest idealnym materiałem do izolacji termicznej.

Jaki opór cieplny powinna mieć wełna?

Optymalny opór cieplny dla wełny mineralnej to zazwyczaj wartość powyżej 3,0 m²·K/W. Dzięki temu zapewnia ona dobrą izolację i chroni przed utratą energii. Należy pamiętać, że grubość wełny mineralnej wpływa bezpośrednio na opór cieplny – im grubsza warstwa, tym lepsza izolacja.

Wełna mineralna jest również ceniona za swoje właściwości akustyczne, odporność na ogień oraz trwałość. To dlatego jest powszechnie stosowana w budownictwie mieszkalnym, ale także w obiektach użyteczności publicznej, takich jak szkoły, szpitale czy biura.

Jaki powinien być opór cieplny poddasza?

Izolacja poddasza jest jednym z najważniejszych elementów wpływających na bilans energetyczny domu. Straty ciepła przez dach mogą być bardzo wysokie, dlatego odpowiedni opór cieplny w tym przypadku ma kluczowe znaczenie.

Jaki opór cieplny powinno mieć poddasze? Zgodnie z obowiązującymi normami budowlanymi, minimalny opór cieplny dla poddasza wynosi 4,0 m²·K/W. W praktyce oznacza to, że grubość warstwy izolacyjnej, na przykład wełny mineralnej, powinna wynosić od 20 do 30 cm. Wartość ta może się różnić w zależności od użytego materiału izolacyjnego oraz wymagań projektowych.

W przypadku poddaszy, szczególnie tych nieużytkowych, warto postawić na materiał o dobrym oporze cieplnym, który jednocześnie nie obciąży nadmiernie konstrukcji dachu. Wełna mineralna, styropian oraz pianka poliuretanowa to materiały, które sprawdzą się w izolacji poddaszy, zapewniając optymalny poziom oporu cieplnego.

źródło i zdjęcia: Aluthermo dystrybuowany przez PBN Invest Sp. z o.o

Autor
Natalia Karaskiewicz
Natalia Karaskiewicz
Młoda mama, która nie boi się wyzwań i z zaangażowaniem zgłębia tajniki budownictwa. Pracę w redakcji traktuje jako nieustanną formę rozwoju i samorealizacji. Obecnie buduje wymarzony dom, co daje jej cenne doświadczenie i pozwala jeszcze lepiej rozumieć potrzeby czytelników. Od 10 lat związana z Grupą AVT, gdzie redaguje artykuły i porady dotyczące budownictwa, remontów i aranżacji wnętrz. Z pasją dzieli się wiedzą z czytelnikami, tłumacząc skomplikowane zagadnienia w przystępny sposób. Poza pracą najchętniej spędza czas z rodziną podczas weekendowych wycieczek.